ILTEATRO COMUNALE DI MODENA
Relazione sugli studi che l’Università degli Studi di Parma, in collaborazione con l’Università degli Studi di Venezia e l’Istituto per la valorizzazione del legno e specie arboree stanno compiendo sul Teatro Comunale di Modena. Gli studi in corso sono effettuati nell’ambito di un’attività di ricerca svolta su richiesta del Comune di Modena. Presentazione a cura dell'ing. Beatrice Belletti dell'Universita' di Parma che ha coordinato la ricerca e del laureando in Ingegneria Civile Francesco Picarelli che ha svolto le analisi con il software di calcolo Straus7.
LA STORIA DEL TEATRO
Nel 1838 il marchese Ippolito Livizzani, nella sua veste di podestà di Modena, convocò i conservatori dell'Illustrissima Comunità per decidere la costruzione di un nuovo teatro che avrebbe sostituito l'antica sala di via Emilia (1643 - 1859), ricca di glorie artistiche, ma decrepita nelle sue strutture.
La progettazione venne affidata a Francesco Vandelli, architetto di corte al servizio di Francesco IV d''Austria-Este, sotto il cui ducato si trovava a quell'epoca la città.
Il nuovo teatro, il Teatro Comunale di oggi, si inaugurò tre anni più tardi: la sera del 2 ottobre 1841.
Un teatro, come allora si scrisse, eretto "per il decoro della città e per la trasmissione delle arti sceniche".
Costruito sopra un'area di duemila e trecento metri quadrati, il Teatro dell'Illustrissima Comunità, come allora si chiamava, ebbe un costo complessivo che ammontò a 722.000 lire.
La cerimonia inaugurale del 2 ottobre 1841 riservò i primi applausi al progettista Francesco Vandelli e al pittore Adeodato Malatesta, autore del pregevole sipario che tuttora decora il boccascena.
La vita e la storia del Teatro Comunale cominciò così e proseguì con alterne fortune fino al primo decennio del nuovo secolo.
Più precisamente fino al 1915, quando, a causa della "Grande Guerra", il Comunale fu costretto a sospendere la propria attività, per poi riprenderla, per sopraggiunte difficoltà, soltanto nel 1923.
Dopo un inizio che fece sperare in un recupero del migliore passato, il Teatro conobbe nuove vicissitudini fino al termine del secondo conflitto mondiale.
La rinascita del Teatro Comunale si ebbe negli anni Sessanta, con la assunzione della gestione diretta dell'istituzione da parte del Comune di Modena il quale, oltre a riconfermare e potenziare la tradizionale attività operistica, introdusse e valorizzò sempre più le Stagioni teatrali dedicate ai concerti, ai balletti e alla prosa.
Nel 1986, con la riapertura del restaurato Teatro Storchi, acquisito dall'Amministrazione Comunale, il teatro di prosa (oggi sede di Emilia Romagna Teatro) può disporre di una più idonea sede espressamente destinata a tale scopo, mentre il Comunale riserva a sé le discipline musicali comprendenti le attività concertistiche, operistiche e di balletto.
Attività, queste, che occupano l'intero periodo delle annate teatrali, tradizionalmente collocate tra l'autunno e la primavera.
Nel 2002 è nata la Fondazione Teatro Comunale di Modena col
compito di gestire il teatro.
La Fondazione vede come fondatori originari,
il Comune di Modena e la Fondazione Cassa di Risparmio di Modena, ed è aperta a
nuovi soci fondatori e sostenitori.
Il Comune di Modena ha chiesto tramite una Convenzione di ricerca con l’Università degli Studi di Parma in collaborazione con l’Università degli Studi di Venezia e l’Istituto per la valorizzazione del legno e specie arboree di analizzare diverse strutture dell’edificio.
Si tratta della verifica statica e della determinazione della capacità portante del graticcio, in ragione dei sempre più gravosi carichi che i moderni strumenti adottati per la funzionalità del teatro richiedono.
Inoltre è richiesta la verifica statica della volta fonica e delle soprastanti travi composte che rappresentano la struttura portante del solaio della sala delle scenografie.
Le strutture lignee del graticcio sono state oggetto di un’analisi per la determinazione del biodegradamento da parte dell’Istituto per la tecnologia del legno (CNR) che ha prodotto un rapporto datato gennaio 2000, mentre il Dott. Bonamini ha prodotto una relazione datata Luglio 2002 sullo stato degli elementi lignei portanti delle principali strutture.
Il GRATICCIO


Fig 1:vista (a) dell’intradosso e (b) dell’estradosso.
Il graticcio è costituito da una triplice serie di orditure collegate mediante viti e chiodi (fig 1):
ORDITURA PRIMARIA:
è costituita da lunghe travi di Abete in un unico pezzo (lunghezza circa di 20m) di grossa sezione (circa 32x26) appoggiate agli estremi su mensoloni provvisti di saette e sospese su tre punti in campata con tiranti in acciaio vincolati ai monaci delle soprastanti capriate. Alle travi lignee sono state intercalate longherine di acciaio anch’esse appoggiate agli estremi e sospese in campata tramite tiranti in acciaio agenti su traverse metalliche incastrate fra le capriate e imbullonate ai puntoni di queste ultime. In questo modo si è inteso ridurre la deformabilità dell’orditura secondaria. La qualità del legname è discreta tale da permettere l’assegnazione ad una categoria di media qualità (S10 secondo la Norma tedesca DIN 4074) oppure la 2° scelta in base alla classificazione Giordano-Ceccotti-Uzielli. Fa eccezione la trave centrale che presentando la fibratura piuttosto inclinata e un marcato svergolamento, è assegnabile ad una categoria inferiore (S7 oppure 3° scelta).
ORDITURA SECONDARIA:
è costituita da correnti di Abete di sezione 9x11,5 cm circa disposti perpendicolarmente alle travi primarie. La struttura originaria, come già detto, è stata rinforzata ed irrigidita tramite il dimezzamento della luce libera di questi elementi ottenuto grazie a longherine di acciaio. La qualità del legname è inferiore a quella del soprastante tavolato ed inoltre i lavori di sostituzione di parte di quest’ultimo sembrano avere lasciato qualche segno su questi correnti. Alcune zone presentano il raddoppio dei correnti con elementi nuovi sempre di legno di Abete. Il materiale può essere assegnato alla categoria S7 secondo la DIN oppure alla 3° scelta secondo la GCU.
ORDITURA TERZIARIA:
è costituita da tavole di Abete (e in qualche caso di pino) di sezione 4x11,5 cm. Circa metà delle tavole sono evidentemente più nuove rispetto alle altre. In corrispondenza dei lati destro e sinistro della scena, dove si concentrano molte pulegge per il sollevamento dei fondali, il legno appare di recente sostituzione. In queste aree in passato si erano manifestati dei cedimenti e crolli parziali della graticcia, sui cui resti furono prelevati i provini testati dal CNR-Istituto per la tecnologia del legno. Dall’analisi di tali provini emerse che i campioni esaminati presentavano un forte attacco da agenti xilofagi e si ritenne che l’insetto provocante il biodegradamento fosse il cosiddetto Capricorno delle case che altera notevolmente le caratteristiche fisico-meccaniche delle strutture lignee. Gli interventi curativi consistono in iniezioni e spennellature seguiti da interventi protettivi su tutto il resto del materiale con sostanze impregnanti.
GRATICCIA Teatro Comunale di Modena
anomalie riscontrate nel tavolato
LA VOLTA FONICA
|
|
Fig 2: vista dall’intradosso della volta fonica

La volta fonica (fig2) copre in pianta una superficie di luce trasversale massima pari a circa 17.5m e di sviluppo longitudinale di circa 19m. La struttura è realizzata con una membrana a doppia curvatura di gesso il cui spessore comprende una sottile stuoia di canne, detta "arellato", posta in prossimità dell’estradosso; stuoia che con tutta probabilità serviva a far da cassero, ossia a tener fermo il gesso tendente a scivolare verso il basso a causa della curvatura. La membrana è irrigidita da una serie di nervature in legno che realizzano la complessa centinatura che si è potuto analizzare solo sommariamente percorrendo il camminamento perimetrale. In prossimità del contorno le nervature si incurvano fortemente seguendo la membrana. Dove esse presentano la più accentuata variazione di curvatura si collegano con bielle che trasmettono le spinte al solaio perimetrale ed al muro su cui poggiano le capriate (fig3). Le centine appaiono realizzate con fasci inchiodati di tavolati sagomati, di legno di latifoglia (probabilmente pioppo) collegati ed irrigiditi da nervature trasversali e da piccole incavallature destinate a contrastare il momento flettente nelle zone vicine all’asse di simmetria della volta dove la volta si presenta praticamente piatta (fig 4). Il legno appare in buone condizioni, non presenta apparentemente segni di attacchi di insetti xilofagi e risulta riparato dall’azione dell’umidità.
Qualche preoccupazione desta invece la situazione statica della volta nel suo complesso.
L’intradosso della volta presenta, infatti, alcune fessure che potrebbero esser provocate dalla variazione di umidità fra intradosso ed estradosso della volta. L’ambiente fra volta fonica e solaio della sala scenografica presenta in genere valori di umidità superiori a quelli della platea che potrebbero causare una contrazione dell’intradosso della volta e quindi fessure longitudinali dovute alla compressione della membrana.
Inoltre il timpano su cui si appoggia l’intera struttura non appare in buone condizioni presentando fessurazioni della muratura di mattoni dovute probabilmente alla spinta orizzontale esercitata dalla volta (fig 5).

Fig 5: fessurazioni del muro perimetrale
Una valutazione realistica della sicurezza statica della volta non può prescindere da un’analisi di dettaglio delle caratteristiche geometriche e meccaniche della struttura stessa. Per questo motivo il Comune di Modena ha commissionato un dettagliato rilievo della volta fonica che produca una restituzione grafica tridimensionale che fungerà da base per lo studio della struttura tramite il metodo degli elementi finiti. I risultati delle analisi ad elementi finiti dovrebbero fornire lo stato tensionale presente nelle parti strutturali della volta e giustificare le lesioni osservate. Una volta simulata la situazione statica presente sarà anche possibile indicare con maggiore sicurezza quali siano i migliori interventi strutturali, se necessari, da eseguire.
Fra i vari interventi possibili non sembra comunque appropriata l’adozione di una soluzione che provveda ad incamiciare la volta con resine all’estradosso, poiché tale soluzione appesantirebbe in modo significativo la struttura senza garantire il risultato desiderato.
LE TRAVI PORTANTI IL SOLAIO DELLA SALA SCENOGRAFIE

Fig 6: la sala delle scenografie
Il solaio della sala delle scenografie (fig 6) è visibile nel locale sottostante, l’ambiente in cui è visibile la centinatura della volta fonica. L’orditura principale è costituita da particolari travi composte (fig 7) su cui poggiano i travetti di sostegno delle pianelle. Tutto il solaio è stato oggetto di molteplici interventi, fra i quali il più recente è costituito in una diagnosi e in un successivo intervento di restauro, come mostrano gli abbondanti segni di sondaggi negli appoggi, le stuccature delle fessure e le cuciture con barre inghisate.
Le travi 4 e 5 non sono portanti, infatti fra di esse corre longitudinalmente una trave reticolare in acciaio alla quale è appeso il lampadario della platea.
Si è stabilito, dunque, di effettuare la verifica statica non di tutte le travi composite ma solo della n° 6 (fig 8) che è quella con la luce e l’interasse di solaio maggiori e che evidenzia particolari problemi nei nodi in cui convergono puntone e catena.
Prima di procedere alla verifica statica della trave composita è stato necessario effettuarne un dettagliato rilievo (fig 9) al fine di:
Per effettuare il suddetto rilievo si è potuta utilizzare una passerella in legno appesa tra le travi 5 e 6 realizzata per potere fare la manutenzione agli organi meccanici che permettono la movimentazione del grande lampadario.
La luce complessiva è di 21,10m, mentre la freccia in mezzeria è pari a circa 10cm nella catena e circa 11cm nel corrente superiore che insiste sui due monaci.
|
|
|
Il legname appartiene alla specie legnosa Abete rosso e considerando anche le notevoli dimensioni, la sua qualità è discreta, tale da permetterne l’assegnazione ad una categoria media di qualità:ad es. la categoria S10 secondo la Norma Tedesca DIN 4074, oppure la 2ª scelta in base alla classificazione GCU (Giordano-Ceccotti-Uzielli).
La trave presenta vari dissesti in particolare si nota dalle foto lo spostamento del nodo di estremità fra puntone e tirante che potrebbe causare una concentrazione di tensioni tale da non potere permettere una verifica in sicurezza della trave stessa. La trave, inoltre, si presenta fessurata e deformata anche nel suo piano.
Per rispondere alle esigenze del Comune di Modena relativamente alla determinazione della situazione statica delle suddette travi, sono state eseguite varie analisi ad elementi finiti.
Fig 9: restituzione grafica del rilievo



ANALISI CON GLI ELEMENTI BEAM
Utilizzando gli elementi beam il materiale viene considerato isotropo in quanto si ha la possibilità di inserire un solo modulo di resistenza ed in particolare il modulo di elasticità medio parallelo alla fibratura (E0=11500 N/mm2). La struttura è stata modellata considerando l’asse di ogni singola asta costituente la trave ed i punti schema, che rappresentano le intersezioni di dette aste, come nodi. La trave è stata vincolata con dei carrelli sia all’intradosso, alle estremità della catena, sia all’estradosso, dove il corrente superiore penetra nel muro, mentre con delle cerniere nei diagonali che sostengono gli appoggi. Nei cosiddetti punti schema sono state introdotte delle cerniere interne. In questa analisi semplificata si è tralasciata la presenza degli elementi in ferro che collegano la parte superiore della struttura con la catena e dei ritti provenienti dagli ambienti sottostanti non costituendo un appoggio per la catena in quanto non sono ad essa collegata. Si sono utilizzati due differenti schemi (fig 10) per la rappresentazione con gli elementi beam, per cercare di modellare al meglio i nodi puntoni-catena. Il primo consiste nel considerare semplicemente il prolungamento dell’asse dei puntoni sino ad incontrare l’asse della catena. Il secondo invece, utilizza dei particolari elementi detti master/slave che collegano due punti, uno sul puntone e uno sulla catena. A loro volta questi link si sono utilizzati in due differenti modalità: una prima nella quale vengono vincolati solo gli spostamenti traslazionali dei due punti collegati con il link ed una seconda nella quale si vincolano gli spostamenti ed anche le rotazioni relative attorno all’asse perpendicolare al piano della trave, per simulare la staffa di contenimento.

Fig 10: schemi utilizzati per la modelazione con gli elementi beam
Lo schema che porta ad una deformata rispondente alla struttura reale è quello con i master/slave con spostamenti e rotazione bloccata.
Per tenere conto del fatto che il modulo di elasticità trasversale del legno è inferiore a quello longitudinale si ricorre ad un artificio modificando il modulo di elasticità delle aste che concorrono nel monaco. Si ottengono moduli di elasticità equivalenti notevolmente ridotti e circa pari al 60% di quelli longitudinali (tab 1).
dove
![]()
![]()
|
Area (m2) |
L90 (m) |
Ltot (m) |
L0 (m) |
E90 (Pa) |
K1 |
E0 (Pa) |
E* (Pa) | ||
|
alto laterali |
1,050E-01 |
0,1264 |
6,4035 |
6,2771 |
3,70E+08 |
307357595 |
1,15E+10 |
7,216E+09 | |
|
alto centro |
1,005E-01 |
0,1271 |
8,2930 |
8,1659 |
3,70E+08 |
292564910 |
1,15E+10 |
7,871E+09 | |
|
diag lungo |
|
9,900E-02 |
0,1249 |
5,6848 |
5,5599 |
3,70E+08 |
293274620 |
1,15E+10 |
6,924E+09 |
|
diag medio |
2,771E-02 |
0,0772 |
2,9727 |
2,8955 |
3,70E+08 |
132806995 |
1,15E+10 |
6,456E+09 | |
|
diag centro |
2,771E-02 |
0,0772 |
2,2034 |
2,1262 |
3,70E+08 |
132806995 |
1,15E+10 |
5,599E+09 | |
|
puntoni di appoggio |
3,026E-02 |
0,3986 |
2,5739 |
2,1753 |
3,70E+08 |
28088810,84 |
1,15E+10 |
2,032E+09 | |
Tab 1: calcolo di E*

Fig 12: deformata della struttura ottenuta con gli elementi beam

Diagramma dei momenti
Le tensioni, sia di compressione che di trazione, nelle varie aste hanno un valore medio inferiore ai 2 N/mm2, notevolmente inferiori a quelli ammissibili (tab 2,3).
La freccia in mezzeria del corrente superiore risulta pari a 10cm mentre nella catena inferiore pari a 8cm (fig 12), analogamente a quanto geometricamente rilevato. Considerando la deformazione dovuta al taglio i valori degli spostamenti risultano analoghi al caso in cui non venga considerata.
L’analisi ad elementi finiti condotta considerando anche il sovraccarico accidentale di 400 Kg/m2, invece, porta a tensioni di compressione circa pari a 9 MP nel diagonale medio ed in quello centrale e a tensioni di trazione di circa 6 Mpa nella catena.
Le tensioni di compressione sono pari a quelle ammissibili, ma la freccia nel corrente superiore risulta eccessiva per la funzionalità del solaio soprastante (f =40cm ).
|
Categorie |
||||||||
|
S7 |
S10 |
S13 | ||||||
|
Proprietà di resistenza in MPa |
||||||||
|
Flessione |
fm,k |
16 |
24 |
30 | ||||
|
Trazione parallela alla fibratura |
ft,0,k |
0 |
14 |
18 | ||||
|
Trazione perpendicolare alla fibratura |
ft,90,k |
0 |
0.2 |
0.2 | ||||
|
Compressione parallela alla fibratura |
fc,0,k |
17 |
21 |
23 | ||||
|
Compressione perpendicolare alla fibratura |
fc,90,k |
4 |
5 |
5 | ||||
|
Taglio |
fv,k |
1.8 |
2.5 |
2.5 | ||||
|
Proprietà di rigidezza in MPa |
||||||||
|
Modulo di elasticità medio parallelo alla fibratura |
E0,mean |
8,000 |
11,000 |
12,000 | ||||
|
Modulo di elasticità parallelo alla fibratura (5%) |
E0,05 |
5,400 |
7,400 |
8,000 | ||||
|
Modulo di elasticità medio |
E90,mean |
270 |
370 |
400 | ||||
|
perpendicolare alla fibratura |
||||||||
|
Modulo di elasticità perpendicolare alla |
E90,05 |
180 |
250 |
270 | ||||
|
fibratura (5%) |
||||||||
|
Modulo di taglio medio |
Gmean |
500 |
690 |
750 | ||||
|
Modulo di taglio (5%) |
G05 |
330 |
460 |
500 | ||||
|
Massa volumica in Kg/m3 |
||||||||
|
Massa volumica (5%) |
ρ k |
350 |
380 |
380 | ||||
Tab 2: valori caratteristici di elementi strutturali di legno massiccio di Conifere classificati secondo la DIN 4074 Teil 1
|
Categorie |
||||||||
|
S7 |
S10 |
S13 |
A | |||||
|
Flessione |
б t,amm |
7 |
10 |
13 |
11 | |||
|
Trazione longitudinale |
б t,0,amm |
0 |
7 |
9 |
10 | |||
|
Trazione trasversale |
б t,90,amm |
0 |
0.05 |
0.05 |
0.05 | |||
|
Compressione longitudinale |
б c,0,amm |
6 |
8.5 |
11 |
10 | |||
|
Compressione trasversale |
б c,90,amm |
2 |
2 |
2 |
3 | |||
|
Taglio |
t a,amm |
0.9 |
0.9 |
0.9 |
1 | |||
|
Torsione |
t T,amm |
0 |
1 |
1 |
1.6 | |||
|
Modulo di elasticità longitudinale |
E0,mean |
8000 |
10000 |
10500 |
12500 | |||
|
Modulo di elasticità trasversale |
E90,mean |
250 |
300 |
350 |
600 | |||
Tab 3: valori di tensione ammissibile per legname massiccio di Conifere classificati secondo la DIN 4074 Teil 1
L’ORTOTROPIA DEL LEGNO
Il legno senza difetti è un materiale anisotropo, cioè in un generico punto, presenta caratteristiche fisico-meccaniche diverse nelle varie direzioni.
Tuttavia date le caratteristiche di accrescimento del legno degli alberi, per i nostri scopi è possibile considerare il legno, prescindendo dalla sua non omogeneità , come un materiale ortotropo, cioè come un materiale le cui caratteristiche in un punto sono semplicemente individuabili sulla base delle caratteristiche individuate per tre direzioni e, conseguentemente, tre piani ortogonali tra loro rispetto alle quali il materiale si comporta in modo simmetrico nei due versi, positivo e negativo.
In ogni punto della sezione retta di un tronco (sezione normale all’asse dell’albero) si può individuare oltre alla direzione parallela all’asse dell’albero in quel punto (direzione longitudinale L, normale al piano della sezione), una direzione tangente all’anello di accrescimento annuale in quel punto (dir. tangenziale), ed una direzione normale alla direzione tangenziale nel punto (direzione radiale R): tali direzioni costituiscono le tre direzioni di ortotropia (fig 13).
Come detto un materiale ortotropo è un materiale che ha differenti proprietà e differenti valori di rigidezza lungo tre direzioni perpendicolari chiamate direzioni principali. In generale un materiale ortotropo ha nove costanti indipendenti.
moduli
di Young nelle tre direzioni
moduli
di taglio
coefficienti di Poisson
Definizione di ![]()
per un carico
monoassiale in direzione 1
Tra i sei coefficienti di Poisson devono essere soddisfatte le seguenti relazioni:

La matrice di deformabilità che è l’inversa della matrice di elasticità è data da

Per trattare il legno possiamo quindi considerare:
![]()
![]()
![]()

Fig 13: direzioni anatomiche nel punto; direzioni anatomiche per tavole tangenziali
e radiali, relativa schematizzazione e scelta degli assi di riferimento
Se si considera quindi che nell’intorno del punto, come poi si
riscontra effettivamente nella pratica, sia, essendo
il valore del modulo di Poisson in
direzione y quando la sollecitazione agisce in direzione x,
![]()
![]()
![]()
è possibile allora definire completamente le caratteristiche di
deformabilità meccanica del legno in quel punto attraverso i soli valori dei
moduli di elasticità normale (EL, ET, ER), dei
moduli di elasticità tangenziale (
![]()
) e dei rapporti mutui sopra definiti
(NLR, NLT, NRT).
In tal modo la matrice di deformabilità che lega le tensioni alle deformazioni, risulta simmetrica (di ordine 6 x 6), come visto succede di regola nei materiali ortotropi:

dove gli elementi del vettore deformazioni e del vettore tensioni hanno il significato mostrato in figura 14.

Fig 14: nomenclature delle tensioni agenti sulle tre giaciture intorno al punto
Per il legname di conifera valgono le seguenti relazioni approssimate:
![]()
![]()
![]()
![]()
Per scopi di calcolo strutturale è ragionevole considerare
, o addirittura
(ortotropia cilindrica fig
15).

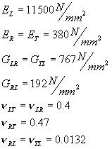
Detto questo, le caratteristiche dell’ Abete rosso risultano:

IL RITIRO
Gli effetti del ritiro (fig 16) dovuto alle variazioni di umidità hanno un notevole effetto sul legno, per questo motivo è stato considerato anche questo effetto.
Dall’ispezione effettuata con il prof. Ceccotti del CNR – IVALSA è emerso che dall’aspetto delle fessure, dalla loro ampiezza e dalla loro lunghezza il legno è stato messo in opera non stagionato (con umidità interna pari a circa il 14%) e con il passare del tempo si è asciugato arrivando ad avere una umidità propria del 9%. Questo fenomeno di diminuzione dell’umidità interna è stato accentuato negli ultimi anni dalla realizzazione dell’impianto di riscaldamento che ha notevolmente cambiato le condizioni all’interno dell’ambiente in cui si trova la trave oggetto di studio.
Poichè il programma ad elementi finiti adottato non permetteva di tenere esplicitamente conto del ritiro si è ricorso ad un trucco e cioè si è simulata la variazione di umidità tramite una variazione di temperatura.
![]()
per conifere si ha ![]()
Assunta una variazione di umidità ![]()
uguagliando le contrazioni dovute alla variazione di umidità
![]()
alle contrazioni dovute alla variazione di temperatura ![]()
essendo noto il coefficiente di dilatazione termica ![]()
si ricava la variazione di temperatura da imporre ![]()
Nel programma si introduce, quindi, un valore di temperatura di riferimento e solo per valori diversi da questo nascono nel materiale degli sforzi termici. Si è fissato un valore di t rif = 0 e poi si è applicata nei nodi degli elementini una temperatura detta fixed pari t fixed =-150 K.


EFFETTO DELLA VISCOSITA’
Se
rappresenta la deformazione istantanea del materiale, se si lascia
agire nel tempo la tensione, mantenuta costante, per il fenomeno della viscosità
la deformazione tenderà ad aumentare nel tempo di una quantità ε t,diff
che è in generale funzione non lineare dello stato tensionale e del tempo
t.
Si definisce un coeff
che è funzione del livello
tensionale.
E’ complicato tener conto della variazione del fenomeno in funzione dello stato tensionale, per cui in genere si preferisce nei codici di calcolo semplificare il fenomeno e considerare Φ
t indipendente dal livello raggiunto dello stato tensionale ed assumere valori di Φt forfettari (mi riconduco al caso della viscosità lineare).![]()
![]()

Quindi è possibile calcolare la deformazione a tempo t considerando il materiale dotato di un modulo elastico fittizio
![]()
Questo è solo un artificio di calcolo , non significa assolutamente che il modulo elastico istantaneo del legno diminuisca nel tempo così come non è vero che diminuisca nel tempo ad es. l’effettivo modulo elastico del calcestruzzo , o di altri materiali viscoelastici.
In altre parole se all’istante t si sottopone il provino ad un incremento di tensione Δ
s , l’incremento di dilatazione sarà:![]()
dove Ei è ovviamente il valore di E istantaneo del legno.
Il contenuto di umidità invece influisce realmente sul valore effettivo di Ei.
Quando il carico viene rimosso la dilatazione diminuisce istantaneamente di una quantità pressoché uguale alla corrispondente deformazione elastica istantanea.
La deformazione restante si ridurrà nel tempo successivo di un’altra quantità (detta elastica differita), mentre una deformazione residua resterà permanentemente (deformazione viscosa in senso stretto).
Nella presente analisi si è utilizzato Φt=1.5
Tale coefficiente si è applicato sia ai moduli elastici che ai moduli di taglio.
ANALISI CON GLI ELEMENTI BRICK
La modellazione con gli elementi beam non riesce a giustificare i dissesti rilevati nel nodo che hanno condotto alla diminuzione dell’area di contatto tra i denti del puntone e quelli della catena.
Si è quindi deciso di realizzare un modello più complesso e dettagliato, per indagare sulle cause che hanno portato a queste aperture e per conoscere quali siano le tensioni in questi nodi particolarmente delicati.
Il modello tridimensionale (fig 17) della struttura prevede una modellazione che rispecchia fedelmente la geometria della struttura sia per quanto riguarda le aste che penetrano l’una nell’altra, sia per quanto riguarda i denti dei nodi. Le aste della trave sono state collegate con particolari connettori, chiamati punti di contatto che lavorano solo a compressione e non a trazione.
Nel modello si sono anche realizzate le staffe in ferro che tengono uniti i vari componenti della struttura, collegate al legno con dei chiodi come effettivamente accade nella realtà (si è ipotizzata perfetta aderenza tra chiodo e legno). Ricapitolando quindi sia il contatto legno-legno che quello legno-ferro si è realizzato con i punti di contatto. L’attrito tra i materiali è stato considerato inserendo i coefficienti di attrito C1 e C2 lungo due direzioni giacenti nel piano di contatto. Tali coefficienti sono pari a 0.5 nel caso di contatto legno-legno e a 0.6 tra ferro-legno (si sono considerate le superfici asciutte, essendo la trave al riparo dalle intemperie).

Fig 17: il modello con gli elementi brick, nel quale si nota che in ogni nodo è stato applicato un valore di temperatura

Fig 18: la deformata

Fig 19: valori degli sforzi assiali nel diagonale lungo e nella
catena in sezioni lontane dai nodi
La deformata (fig 18) evidenzia una freccia in mezzeria di 7.5cm nella parte inferiore e di 8cm nella parte superiore. Il maggiore abbassamento dell’intradosso della trave ha causato il distacco, del tutto evidente nel rilievo, fra le staffe in ferro e l’estradosso della catena inferiore.
Dall’analisi numerica è stato possibile verificare che nelle zone centrali delle aste, lontano dagli appoggi il valore degli sforzi ottenuto con un a modellazione con elementi brick è del tutto simile a quello derivante da una modellazione con elementi beam (fig 19).
Ad esempio nel diagonale lungo si ha in una sezione di metà asta uno sforzo di compressione compreso tra -1 e -2.4 N/mm2 valori del tutto confrontabili con il valore costante in tutta l’asta di –1.6 N/mm2 e di –2.37 N/mm2 nel tratto tra i due master/slave ottenuto con i beam.
Analogamente nella catena in mezzeria si ha uno sforzo assiale di trazione compreso tra 1e 3.2 N/mm2 mentre con i beam si era ottenuto un valore costante di trazione pari a 1.51 N/mm2.
Questa osservazione appare molto importante perchè avvalora l’analisi di queste strutture anche tramite semplici modellazioni monodimensionali, che riproducono abbastanza fedelmente lo stato sollecitativo delle aste lontano dai nodi. Mentre invece la modellazione tridimensionale è fondamentale per lo studio dei nodi.
La modellazione tridimensionale ha permesso di ricreare lo stato deformativo dei nodi, ed in particolare i movimenti relativi fra puntone e catena.

Fig 20a: tensioni principali nel dente del puntone

Fig 20b: tensioni principali nel puntone medio
Per quanto riguarda lo stato sollecitativo del nodo, si sono evidenziati valori preoccupanti di compressione in due punti (fig 20):
CONCLUSIONI
PRECISAZIONI SULL’ANALISI
Il legno ha un comportamento elastico lineare fino a rottura. Con gli elementi beam è stata svolta un’analisi lineare, mentre una risoluzione non lineare si è resa necessaria nelle analisi effettuate con gli elementi brick a causa della presenza degli elementi di contatto. Il carico è stato applicato in un unico step e a causa dell’elevato numero di elementi di contatto si è aumentato il numero massimo di iterazioni possibile fissato di default. Non si è scelta l’opzione "automatic load stepping". La rigidezza di ogni singolo elemento di contatto è stata aggiornata in modo dinamico attivando l’opzione "dynamic stiffness". Il solutore aumenta o diminuisce gradualmente tale rigidezza per una migliore implementazione delle condizioni di contatto. Si sono utilizzati i punti di contatto di tipo "normal" e si sono introdotte due diverse coppie di valori per i coefficienti d’attrito, una per il contatto legno-legno ed una per quello legno-ferro. Come valore del fattore friction cut-off-strain che definisce il valore limite di deformazione a trazione che deve essere presente prima che alle due estremità dell’elemento di contatto sia consentito di allontanarsi liberamente è stato mantenuto il valore di default.
Per introdurre l’ortotropia del legno per ogni singolo elemento costituente la trave composita si sono definiti i vettori V1(X1,Y1,Z1) e V2(X2,Y2,Z2) facendo attenzione ad averli inseriti in modo opportuno perchè altrimenti il programma avrebbe utilizzato il sistema di riferimento globale e non il sistema del materiale.
GRUPPO DI RICERCA
Partecipano alla ricerca in corso sulle strutture lignee del Teatro Comunale di Modena, oltre agli autori dell’articolo, l’arch. Giorgio Castelli, l’arch. Alessandro Pellagra e l’ing. Anna Ferrari per il Comune di Modena, il prof. Carlo Blasi per l’Università di Parma, il prof. Angelo Di Tommaso dell’Università di Venezia e il prof. Ario Ceccotti per l’Istituto per la valorizzazione del legno e specie arboree.
BIBLIOGRAFIA